coding test/leetCode
[leetCode/JS] 938. Range Sum of BST
쭘봉
2022. 12. 7. 09:42
난이도 [ 😊 ] Easy
문제 설명
Given the root node of a binary search tree and two integers low and high, return the sum of values of all nodes with a value in the inclusive range [low, high].
2진 트리의 노드 값이 low, high 범위에 들어오면 모두 더해서 return 한다.
입출력 예
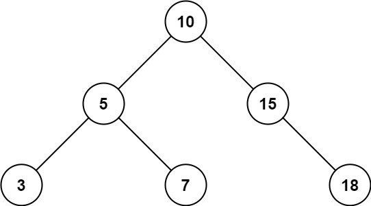
Example 1:

Input: root = [10,5,15,3,7,null,18], low = 7, high = 15
Output: 32
Explanation: Nodes 7, 10, and 15 are in the range [7, 15]. 7 + 10 + 15 = 32.
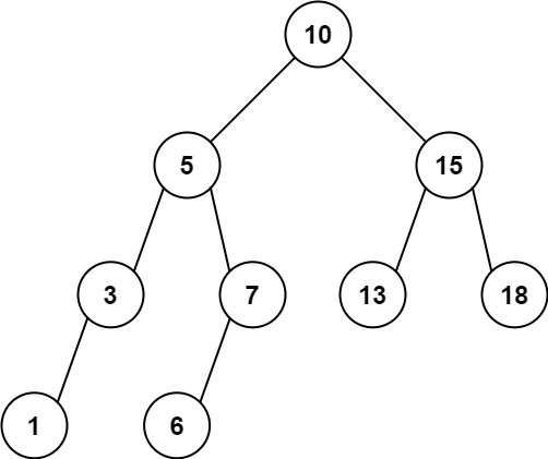
Example 2:

Input: root = [10,5,15,3,7,13,18,1,null,6], low = 6, high = 10
Output: 23
Explanation: Nodes 6, 7, and 10 are in the range [6, 10]. 6 + 7 + 10 = 23.
Constraints
- The number of nodes in the tree is in the range
[1, 2 * 104]. 1 <= Node.val <= 1051 <= low <= high <= 105- All
Node.valare unique.
내 솔루션
- 재귀함수로 기본적인 2진트리 탐색을 구현했다.
var rangeSumBST = function(root, low, high) {
let sum = 0;
const bst = (node) => {
if(!node) return;
if(low <= node.val && node.val <= high) sum += node.val
bst(node.left)
bst(node.right)
}
bst(root);
return sum;
};
감상평

- 딱 적당한 속도와 메모리. BST 호출 전에 if를 걸면 좀더 빨라질 수 있을까