Notice
Recent Posts
Recent Comments
Link
| 일 | 월 | 화 | 수 | 목 | 금 | 토 |
|---|---|---|---|---|---|---|
| 1 | 2 | 3 | 4 | 5 | 6 | 7 |
| 8 | 9 | 10 | 11 | 12 | 13 | 14 |
| 15 | 16 | 17 | 18 | 19 | 20 | 21 |
| 22 | 23 | 24 | 25 | 26 | 27 | 28 |
| 29 | 30 | 31 |
Tags
- 코테
- LeetCode
- 건담
- 바질토마토뭐시기
- 건담헤드
- 게임
- javascript
- 30mf
- 맛집
- 메탈퍼즐
- 취미
- 눈알빠지겠네
- 지리데칼
- 코딩테스트
- 발더스게이트
- 밥무하마드
- 포켓몬
- 노노그램
- 지쿠악스
- 가챠
- 롱라이플
- 발더스모드
- 유루건
- 우리시대의역설
- 프라모델
- 블라인드박스
- DIY
- 제프딕슨
- 누룽지소금빵
- 미앤아이
Archives
- Today
- Total
.Zzumbong
[leetCode/JS] 872. Leaf-Similar Trees 본문
난이도 [ 😊 ] Easy
문제 설명
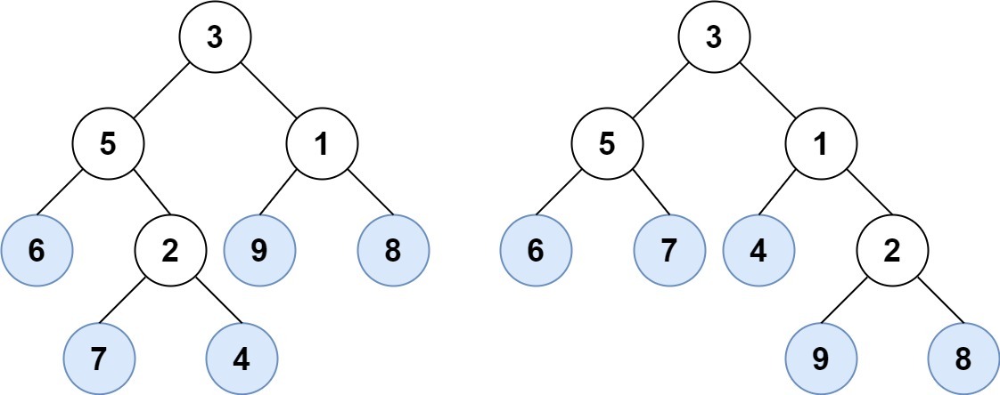
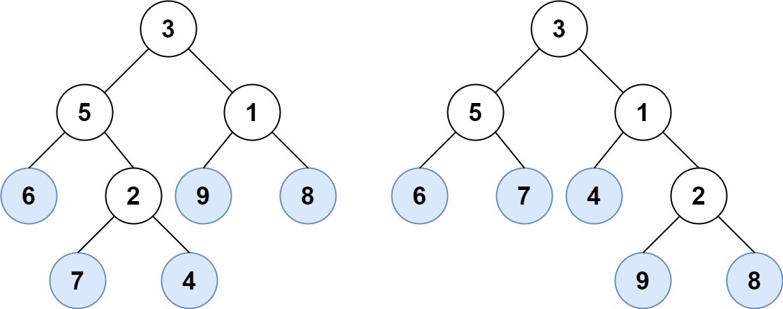
Consider all the leaves of a binary tree, from left to right order, the values of those leaves form a leaf value sequence.

For example, in the given tree above, the leaf value sequence is (6, 7, 4, 9, 8).
Two binary trees are considered leaf-similar if their leaf value sequence is the same.
Return true if and only if the two given trees with head nodes root1 and root2 are leaf-similar.
2개의 2진 트리가 주어진다. 각 트리마다 마지막 leaf 가 순서와 값이 같을 때 true를 넘긴다.
입출력 예
Example 1:

Input: root1 = [3,5,1,6,2,9,8,null,null,7,4], root2 = [3,5,1,6,7,4,2,null,null,null,null,null,null,9,8]
Output: true
Example 2:

Input: root1 = [1,2,3], root2 = [1,3,2]
Output: false
Constraints
- The number of nodes in each tree will be in the range
[1, 200]. - Both of the given trees will have values in the range
[0, 200].
내 솔루션
- 당연히 기본적인 DFS 방식으로 풀어야한다.
- left, right가 존재하면 dfs()를 호출하고 둘다 값이 없는 마지막 Leaf 일 때, nodes에 `/${node.val}` 로 저장한다.
- /가 필요한 이유는 1,2,3 과 12,3이 같은 값이 되기 때문.
var leafSimilar = function(root1, root2) {
const getLastNode = (root) => {
let nodes = '';
const dfs = (node) => {
if(node.left) dfs(node.left)
if(node.right) dfs(node.right)
if(!node.left && !node.right) nodes += `/${node.val}`
}
dfs(root);
return nodes;
}
return getLastNode(root1) === getLastNode(root2);
};
감상평

- easy 문제일 수록 답은 하나로 귀결될 수 밖에 없나보다 다른 사람들의 솔루션도 비슷한 방식이다.
- 메모리는 조금 많이 사용했다. 왜지! 더 적은 메모리를 사용한 솔루션을 봐도 무거워보이는데..
- 하지만 빨랐죠?
'coding test > leetCode' 카테고리의 다른 글
| [leetCode/JS] 1339. Maximum Product of Splitted Binary Tree (0) | 2022.12.10 |
|---|---|
| [leetCode/JS] 1026. Maximum Difference Between Node and Ancestor (1) | 2022.12.09 |
| [leetCode/JS] 938. Range Sum of BST (0) | 2022.12.07 |
| [leetCode/JS] 328. Odd Even Linked List (1) | 2022.12.06 |
| [leetCode/JS] 876. Middle of the Linked List (0) | 2022.12.05 |
Comments