Notice
Recent Posts
Recent Comments
Link
| 일 | 월 | 화 | 수 | 목 | 금 | 토 |
|---|---|---|---|---|---|---|
| 1 | 2 | 3 | ||||
| 4 | 5 | 6 | 7 | 8 | 9 | 10 |
| 11 | 12 | 13 | 14 | 15 | 16 | 17 |
| 18 | 19 | 20 | 21 | 22 | 23 | 24 |
| 25 | 26 | 27 | 28 | 29 | 30 | 31 |
Tags
- 제프딕슨
- LeetCode
- 눈알빠지겠네
- javascript
- 노노그램
- 바질토마토뭐시기
- 포켓몬
- 코테
- 밥무하마드
- 프라모델
- 메탈퍼즐
- 건담
- 롱라이플
- 발더스모드
- 맛집
- 발더스게이트
- 블라인드박스
- 가챠
- 누룽지소금빵
- 건담헤드
- 우리시대의역설
- 유루건
- 지쿠악스
- 코딩테스트
- 취미
- 미앤아이
- 30mf
- DIY
- 게임
- 지리데칼
Archives
- Today
- Total
.Zzumbong
[leetCode/JS] 938. Range Sum of BST 본문
난이도 [ 😊 ] Easy
문제 설명
Given the root node of a binary search tree and two integers low and high, return the sum of values of all nodes with a value in the inclusive range [low, high].
2진 트리의 노드 값이 low, high 범위에 들어오면 모두 더해서 return 한다.
입출력 예
Example 1:

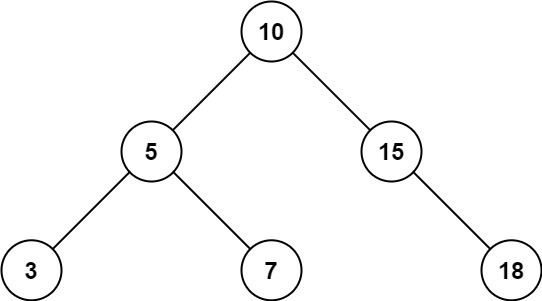
Input: root = [10,5,15,3,7,null,18], low = 7, high = 15
Output: 32
Explanation: Nodes 7, 10, and 15 are in the range [7, 15]. 7 + 10 + 15 = 32.
Example 2:

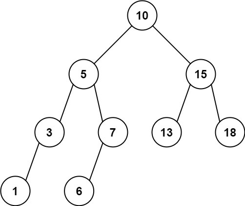
Input: root = [10,5,15,3,7,13,18,1,null,6], low = 6, high = 10
Output: 23
Explanation: Nodes 6, 7, and 10 are in the range [6, 10]. 6 + 7 + 10 = 23.
Constraints
- The number of nodes in the tree is in the range
[1, 2 * 104]. 1 <= Node.val <= 1051 <= low <= high <= 105- All
Node.valare unique.
내 솔루션
- 재귀함수로 기본적인 2진트리 탐색을 구현했다.
var rangeSumBST = function(root, low, high) {
let sum = 0;
const bst = (node) => {
if(!node) return;
if(low <= node.val && node.val <= high) sum += node.val
bst(node.left)
bst(node.right)
}
bst(root);
return sum;
};
감상평

- 딱 적당한 속도와 메모리. BST 호출 전에 if를 걸면 좀더 빨라질 수 있을까
'coding test > leetCode' 카테고리의 다른 글
| [leetCode/JS] 1026. Maximum Difference Between Node and Ancestor (1) | 2022.12.09 |
|---|---|
| [leetCode/JS] 872. Leaf-Similar Trees (0) | 2022.12.08 |
| [leetCode/JS] 328. Odd Even Linked List (1) | 2022.12.06 |
| [leetCode/JS] 876. Middle of the Linked List (0) | 2022.12.05 |
| [leetCode/JS] 2256. Minimum Average Difference (0) | 2022.12.04 |
Comments
